Официальное опубликование правовых актов
ОФИЦИАЛЬНОЕ ОПУБЛИКОВАНИЕ
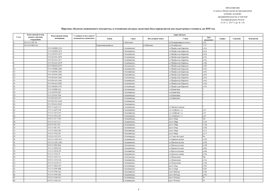
Приказ Министерства по промышленной политике, развитию предпринимательства и торговли Калининградской области от 26.12.2017 № 161
"Об определении перечня объектов недвижимого имущества, в отношении которых налоговая база определяется как кадастровая стоимость на 2018 год"
Номер опубликования: 3901201712280028
Дата опубликования: 28.12.2017
Страница №2 из 206:
Увеличить