Официальное опубликование правовых актов
ОФИЦИАЛЬНОЕ ОПУБЛИКОВАНИЕ
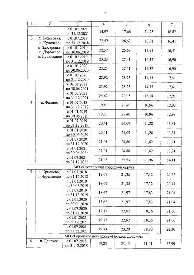
Приказ Службы по государственному регулированию цен и тарифов Калининградской области от 20.12.2017 № 114-25окк/17
"Об установлении тарифов на питьевую воду (питьевое водоснабжение), водоотведение и долгосрочных параметров регулирования организации водопроводно-канализационного хозяйства ФГБУ "ЦЖКУ" Министерства обороны Российской Федерации на 2018-2021 годы"
Номер опубликования: 3901201712270020
Дата опубликования: 27.12.2017
Страница №4 из 9:
Увеличить