Официальное опубликование правовых актов
ОФИЦИАЛЬНОЕ ОПУБЛИКОВАНИЕ
Приказ Министерства социальной политики Калининградской области от 12.05.2017 № 264
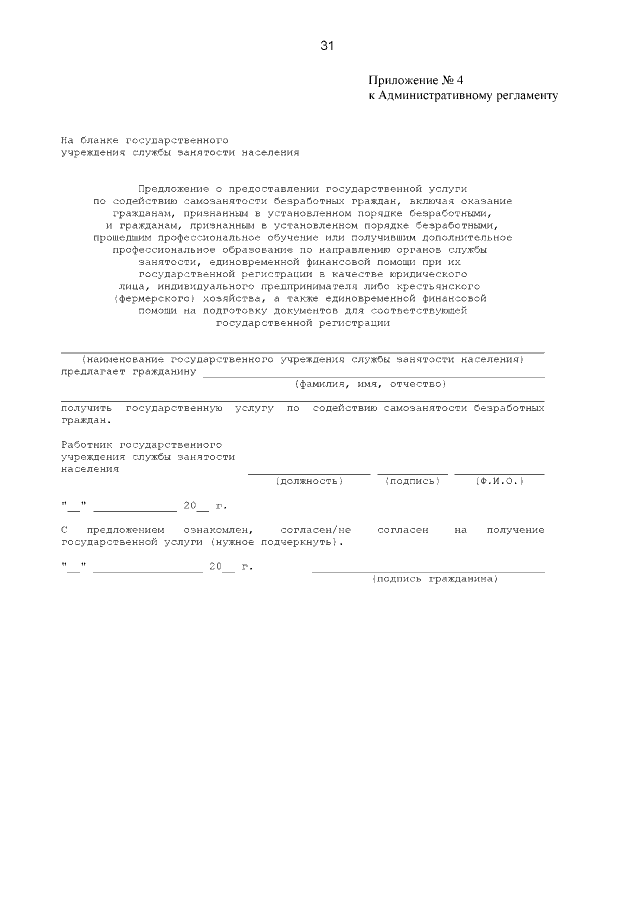
"Об утверждении Административного регламента предоставления государственной услуги по содействию самозанятости безработных граждан, включая оказание гражданам, признанным в установленном порядке безработными, и гражданам, признанным в установленном порядке безработными, прошедшим профессиональное обучение или получившим дополнительное профессиональное образование по направлению органов службы занятости, единовременной финансовой помощи при их государственной регистрации в качестве юридического лица, индивидуального предпринимателя либо крестьянского (фермерского) хозяйства, а также единовременной финансовой помощи на подготовку документов для соответствующей государственной регистрации"
Номер опубликования: 3901201705170006
Дата опубликования: 17.05.2017
Страница №34 из 38:
Увеличить