Приказ Министерства образования Калининградской области от 25.04.2017 № 457/1
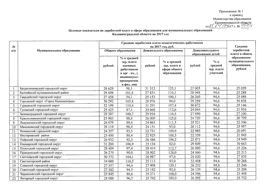
"Об утверждении целевых показателей по заработной плате в сфере образования в рамках реализации мероприятий, установленных Указами Президента Российской Федерации от 07 мая 2012 года № 597 и от 01 июня 2012 года № 761 на 2017 год"
"Об утверждении целевых показателей по заработной плате в сфере образования в рамках реализации мероприятий, установленных Указами Президента Российской Федерации от 07 мая 2012 года № 597 и от 01 июня 2012 года № 761 на 2017 год"
Номер опубликования: 3901201704270002
Дата опубликования:
27.04.2017
