Официальное опубликование правовых актов
ОФИЦИАЛЬНОЕ ОПУБЛИКОВАНИЕ
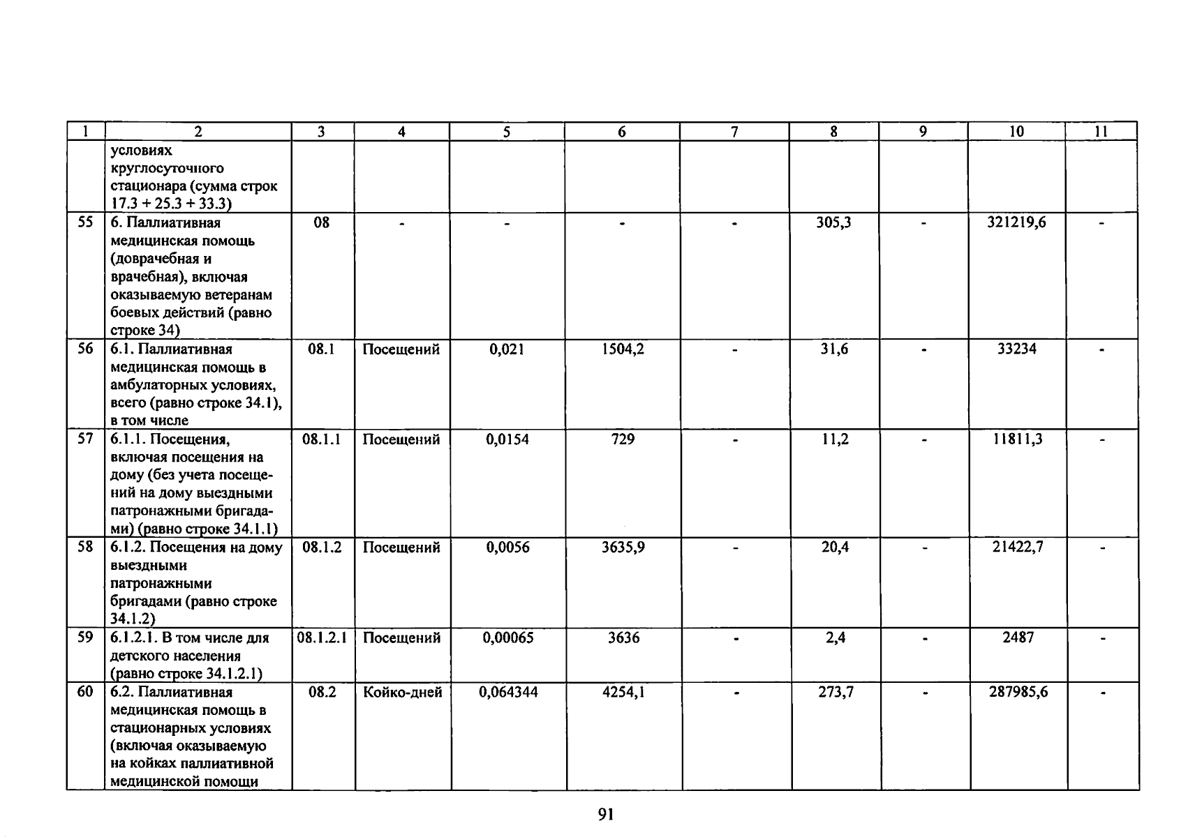
Постановление Правительства Калининградской области от 28.01.2026 № 28-п
"Об утверждении территориальной программы государственных гарантий бесплатного оказания гражданам медицинской помощи в Калининградской области на 2026 год и на плановый период 2027 и 2028 годов"
Номер опубликования: 3900202601300016
Дата опубликования: 30.01.2026
Страница №208 из 276:
Увеличить