Официальное опубликование правовых актов
ОФИЦИАЛЬНОЕ ОПУБЛИКОВАНИЕ
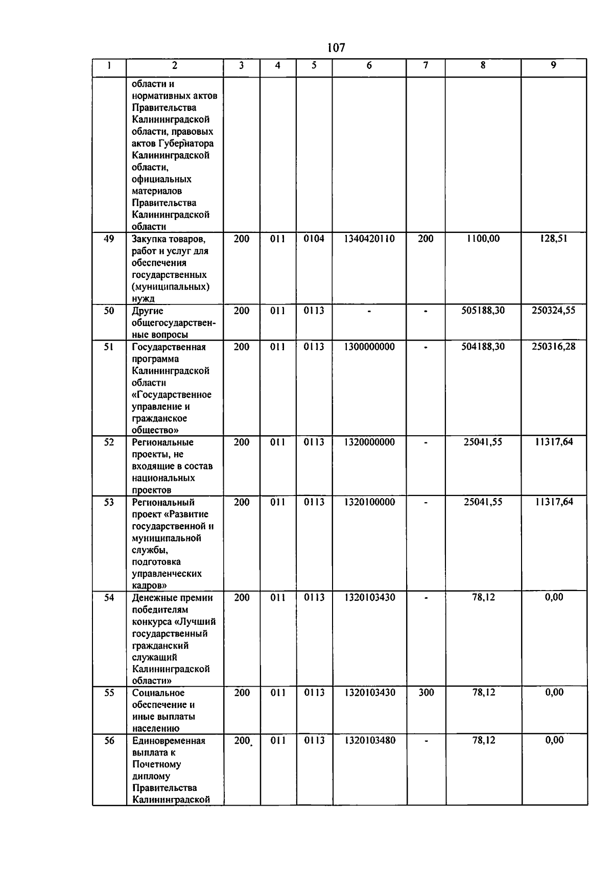
Постановление Правительства Калининградской области от 14.10.2025 № 382-п
"Об утверждении отчета об исполнении областного бюджета за I полугодие 2025 года"
Номер опубликования: 3900202510160002
Дата опубликования: 16.10.2025
Страница №108 из 520:
Увеличить