Официальное опубликование правовых актов
ОФИЦИАЛЬНОЕ ОПУБЛИКОВАНИЕ
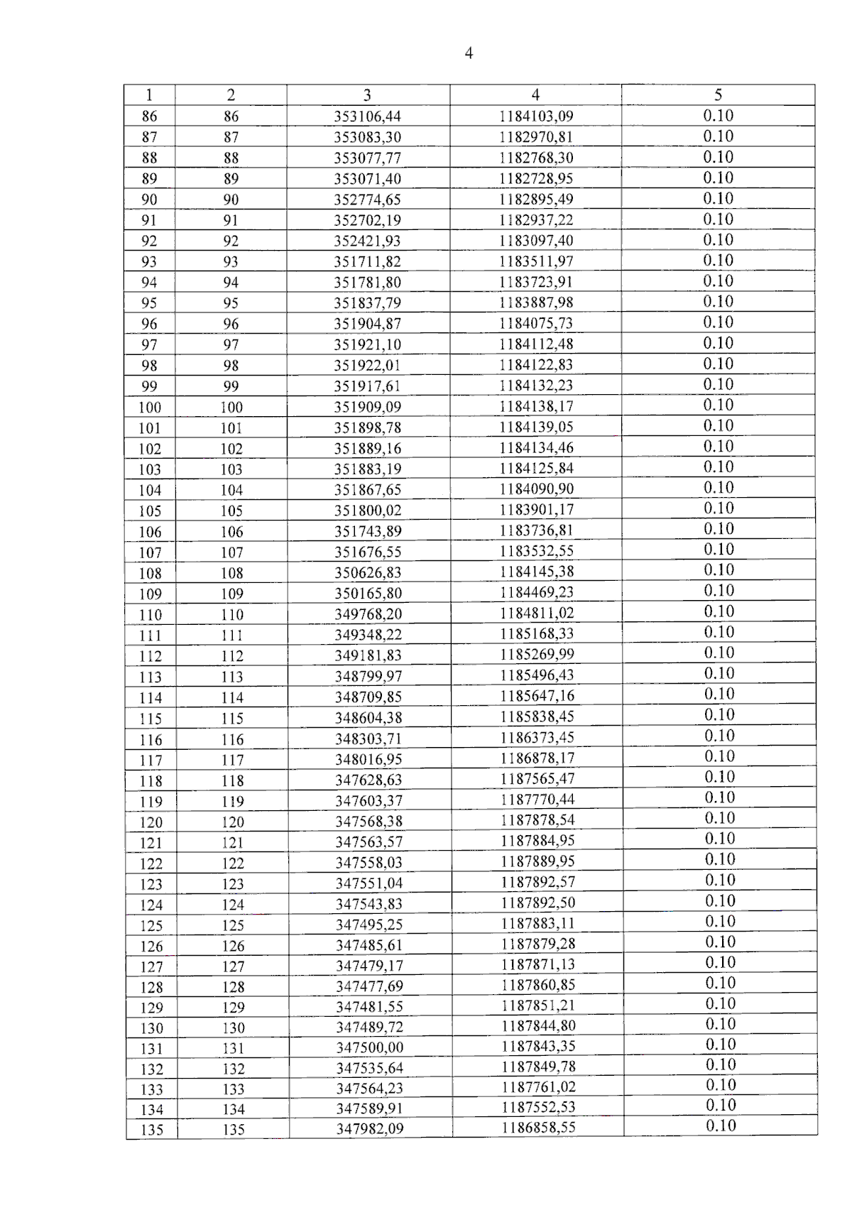
Постановление Правительства Калининградской области от 10.04.2025 № 133-п
"Об установлении публичного сервитута в целях эксплуатации существующего объекта электросетевого хозяйства регионального значения "Воздушная линия № 110-117 ПС О-1 "Центральная" ПС О-29 "Чкаловская" длиной 18,24 км с отпайкой на ПС О-44 "Промышленная" длиной 3,72 км"
Номер опубликования: 3900202504110007
Дата опубликования: 11.04.2025
Страница №60 из 61:
Увеличить