Официальное опубликование правовых актов
ОФИЦИАЛЬНОЕ ОПУБЛИКОВАНИЕ
Постановление Правительства Калининградской области от 10.04.2025 № 131-п
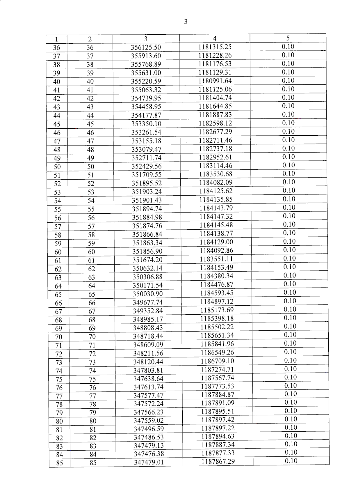
"Об установлении публичного сервитута в целях эксплуатации существующего объекта электросетевого хозяйства регионального значения "Воздушная линия № 110-118 ПС О-1 "Центральная" ПС О-35 "Космодемьянская" длиной 22,11 км с отпайкой на ПС О-2 "Янтарь" длиной 1,0 км длиной 23,11 км"
Номер опубликования: 3900202504110003
Дата опубликования: 11.04.2025
Страница №29 из 31:
Увеличить