Официальное опубликование правовых актов
ОФИЦИАЛЬНОЕ ОПУБЛИКОВАНИЕ
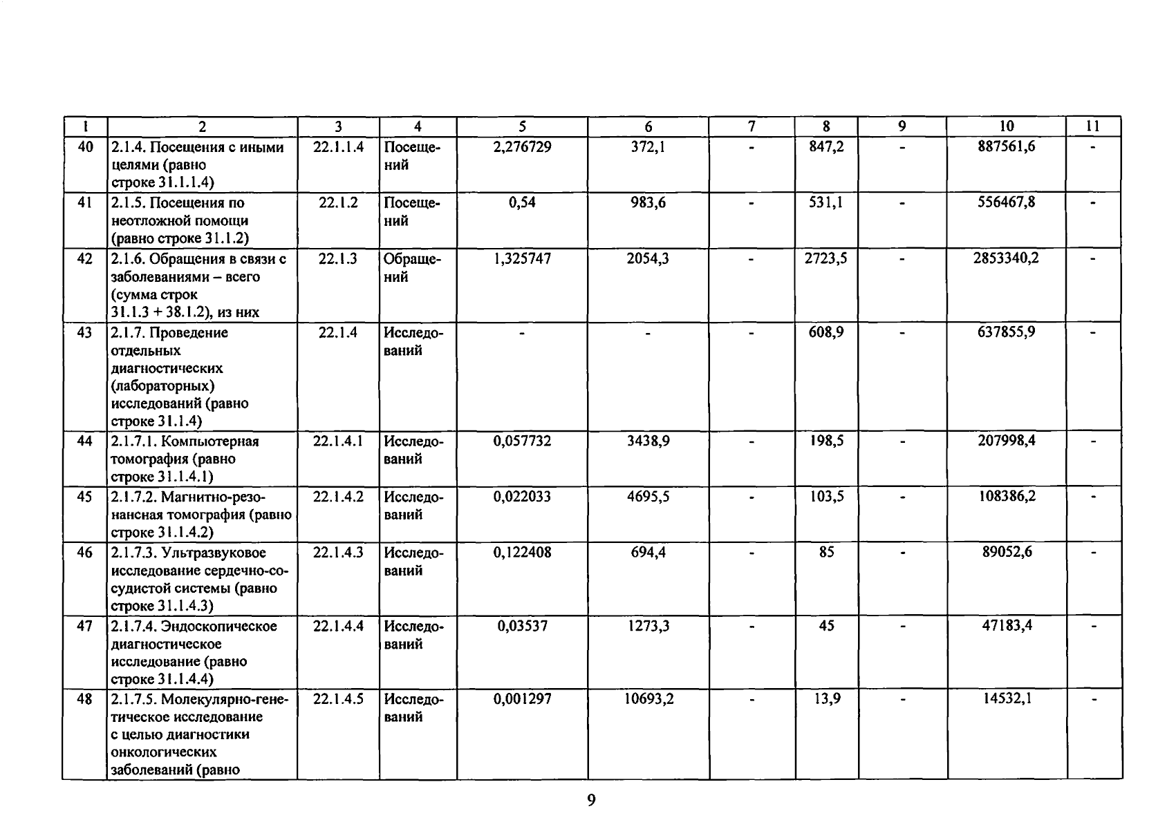
Постановление Правительства Калининградской области от 10.02.2025 № 26-п
"Об утверждении территориальной программы государственных гарантий бесплатного оказания гражданам медицинской помощи в Калининградской области на 2025 год и на плановый период 2026 и 2027 годов"
Номер опубликования: 3900202502110001
Дата опубликования: 11.02.2025
Страница №110 из 206:
Увеличить