Постановление Правительства Калининградской области от 28.12.2024 № 501-п
"О внесении изменения в распределение иных межбюджетных трансфертов, предоставляемых в 2024 году из областного бюджета местным бюджетам за счет средств резервного фонда Правительства Калининградской области на обеспечение путевками в загородные организации отдыха детей и их оздоровления в Калининградской области детей военнослужащих и других участников специальной военной операции, предоставление бесплатного горячего питания детям военнослужащих и других участников специальной военной операции, обучающимся по программам основного общего и среднего общего образования в муниципальных общеобразовательных организациях Калининградской области, обеспечение присмотра и ухода за детьми военнослужащих и других участников специальной военной операции, осваивающими образовательные программы дошкольного образования в муниципальных организациях, осуществляющих образовательную деятельность на территории Калининградской области"
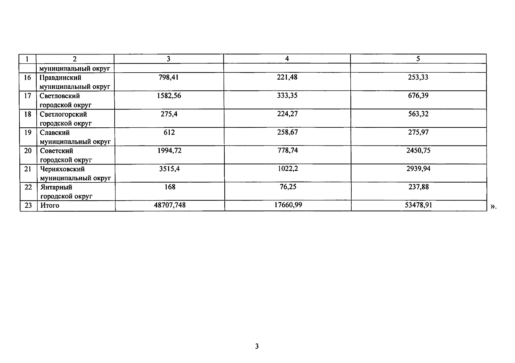
"О внесении изменения в распределение иных межбюджетных трансфертов, предоставляемых в 2024 году из областного бюджета местным бюджетам за счет средств резервного фонда Правительства Калининградской области на обеспечение путевками в загородные организации отдыха детей и их оздоровления в Калининградской области детей военнослужащих и других участников специальной военной операции, предоставление бесплатного горячего питания детям военнослужащих и других участников специальной военной операции, обучающимся по программам основного общего и среднего общего образования в муниципальных общеобразовательных организациях Калининградской области, обеспечение присмотра и ухода за детьми военнослужащих и других участников специальной военной операции, осваивающими образовательные программы дошкольного образования в муниципальных организациях, осуществляющих образовательную деятельность на территории Калининградской области"
Номер опубликования: 3900202412280028
Дата опубликования:
28.12.2024
