Постановление Правительства Калининградской области от 14.10.2024 № 394-п
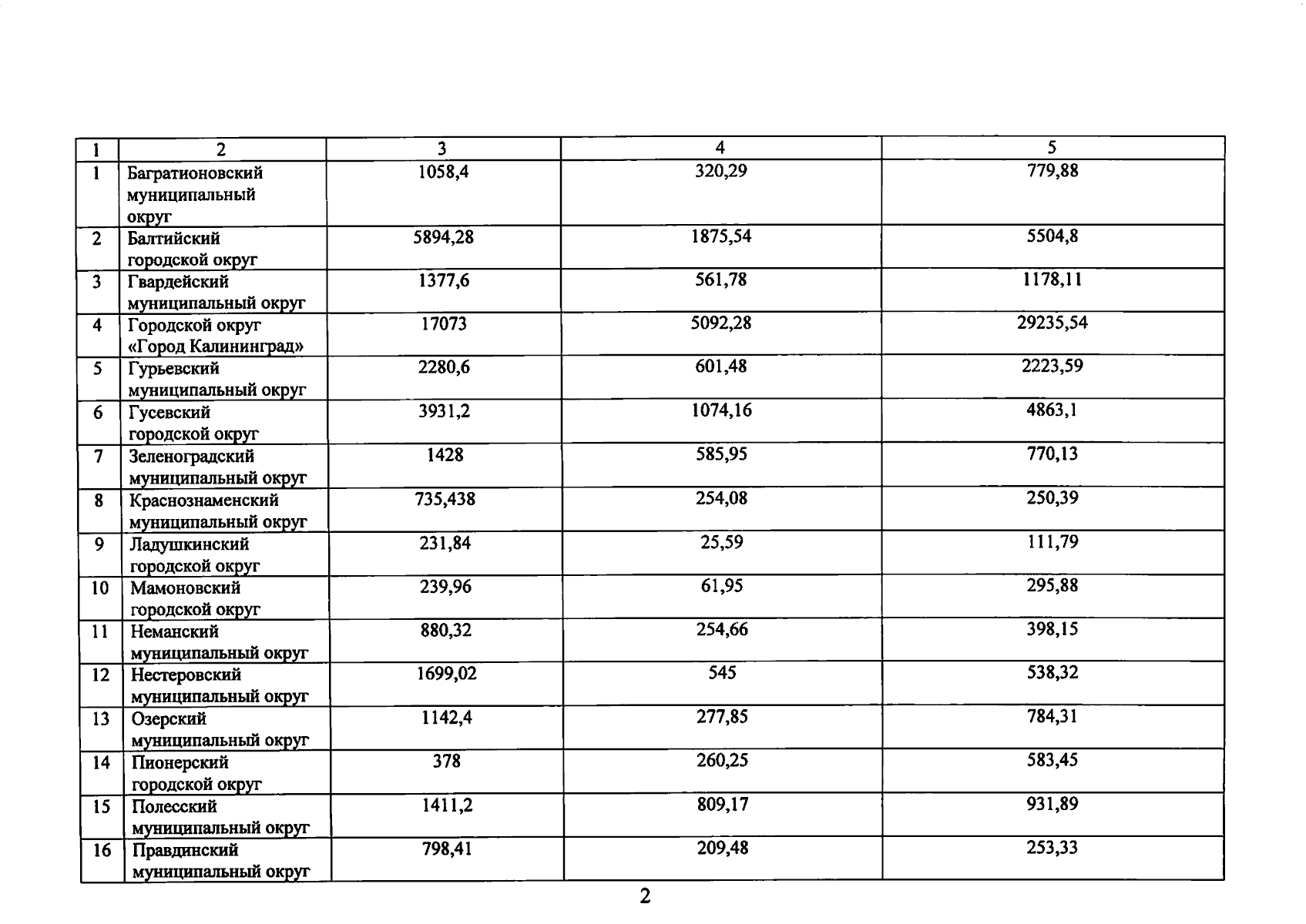
"О внесении изменения в распределение иных межбюджетных трансфертов, предоставляемых в 2024 году из областного бюджета местным бюджетам за счет средств резервного фонда Правительства Калининградской области на обеспечение путевками в загородные организации отдыха детей и их оздоровления в Калининградской области детей военнослужащих и других участников специальной военной операции, предоставление бесплатного горячего питания детям военнослужащих и других участников специальной военной операции, обучающимся по программам основного общего и среднего общего образования в муниципальных общеобразовательных организациях Калининградской области, обеспечение присмотра и ухода за детьми военнослужащих и других участников специальной военной операции, осваивающими образовательные программы дошкольного образования в муниципальных организациях, осуществляющих образовательную деятельность на территории Калининградской области"
"О внесении изменения в распределение иных межбюджетных трансфертов, предоставляемых в 2024 году из областного бюджета местным бюджетам за счет средств резервного фонда Правительства Калининградской области на обеспечение путевками в загородные организации отдыха детей и их оздоровления в Калининградской области детей военнослужащих и других участников специальной военной операции, предоставление бесплатного горячего питания детям военнослужащих и других участников специальной военной операции, обучающимся по программам основного общего и среднего общего образования в муниципальных общеобразовательных организациях Калининградской области, обеспечение присмотра и ухода за детьми военнослужащих и других участников специальной военной операции, осваивающими образовательные программы дошкольного образования в муниципальных организациях, осуществляющих образовательную деятельность на территории Калининградской области"
Номер опубликования: 3900202410150007
Дата опубликования:
15.10.2024
