Официальное опубликование правовых актов
ОФИЦИАЛЬНОЕ ОПУБЛИКОВАНИЕ
Постановление Правительства Калининградской области от 20.06.2024 № 233-п
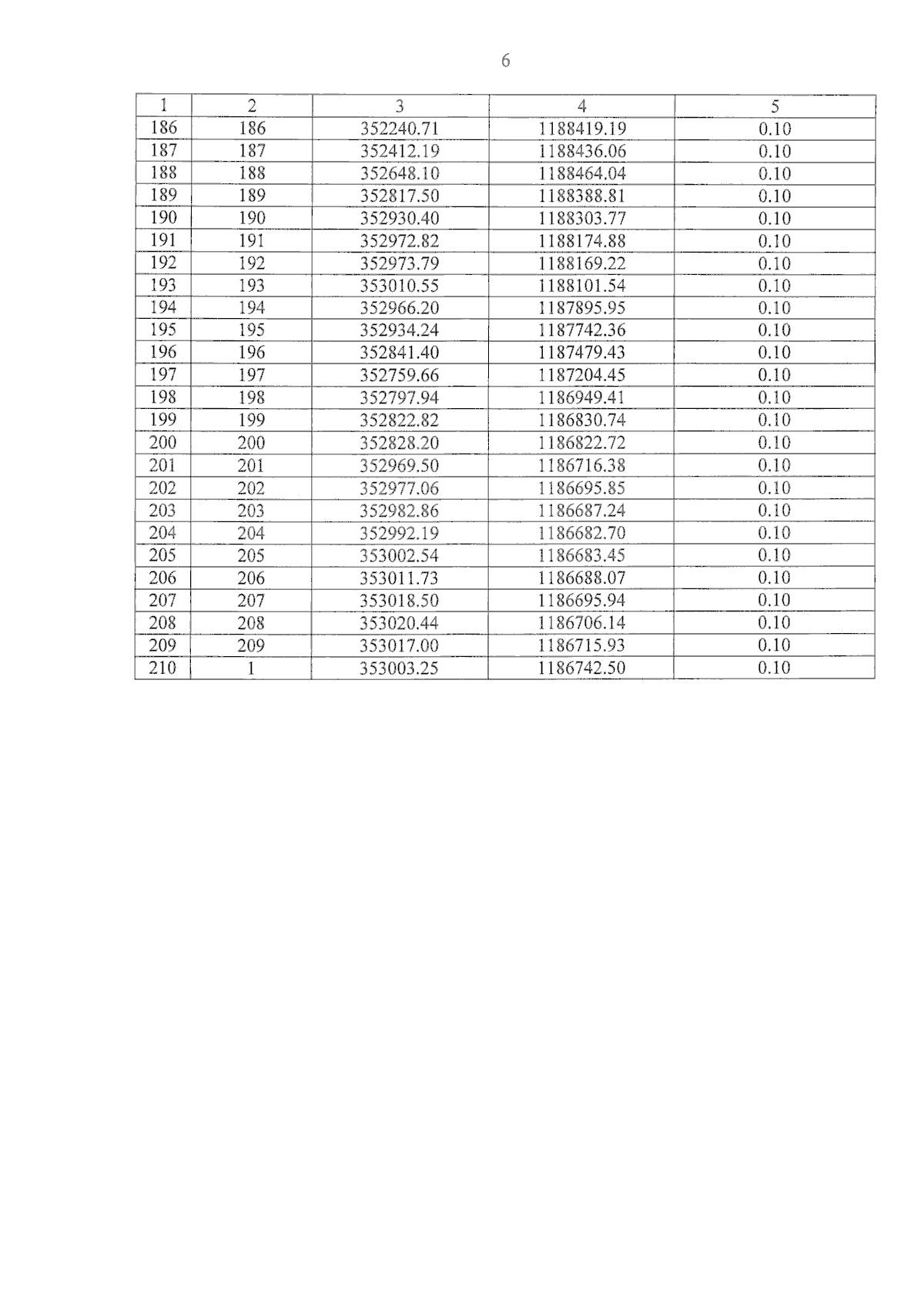
"Об установлении публичного сервитута в целях эксплуатации объекта электросетевого хозяйства регионального значения "Воздушная линия № 110-128 ПС О-1 "Центральная" – ТЭЦ-1 длиной 8,01 км с отпайкой к ПС О-17 "Рыбный порт" длиной 1,89 км и отпайкой к ПС О-48 "Молокозаводская" длиной 0,13 км"
Номер опубликования: 3900202406240036
Дата опубликования: 24.06.2024
Страница №26 из 26:
Увеличить