Официальное опубликование правовых актов
ОФИЦИАЛЬНОЕ ОПУБЛИКОВАНИЕ
Постановление Правительства Калининградской области от 28.05.2024 № 198-п
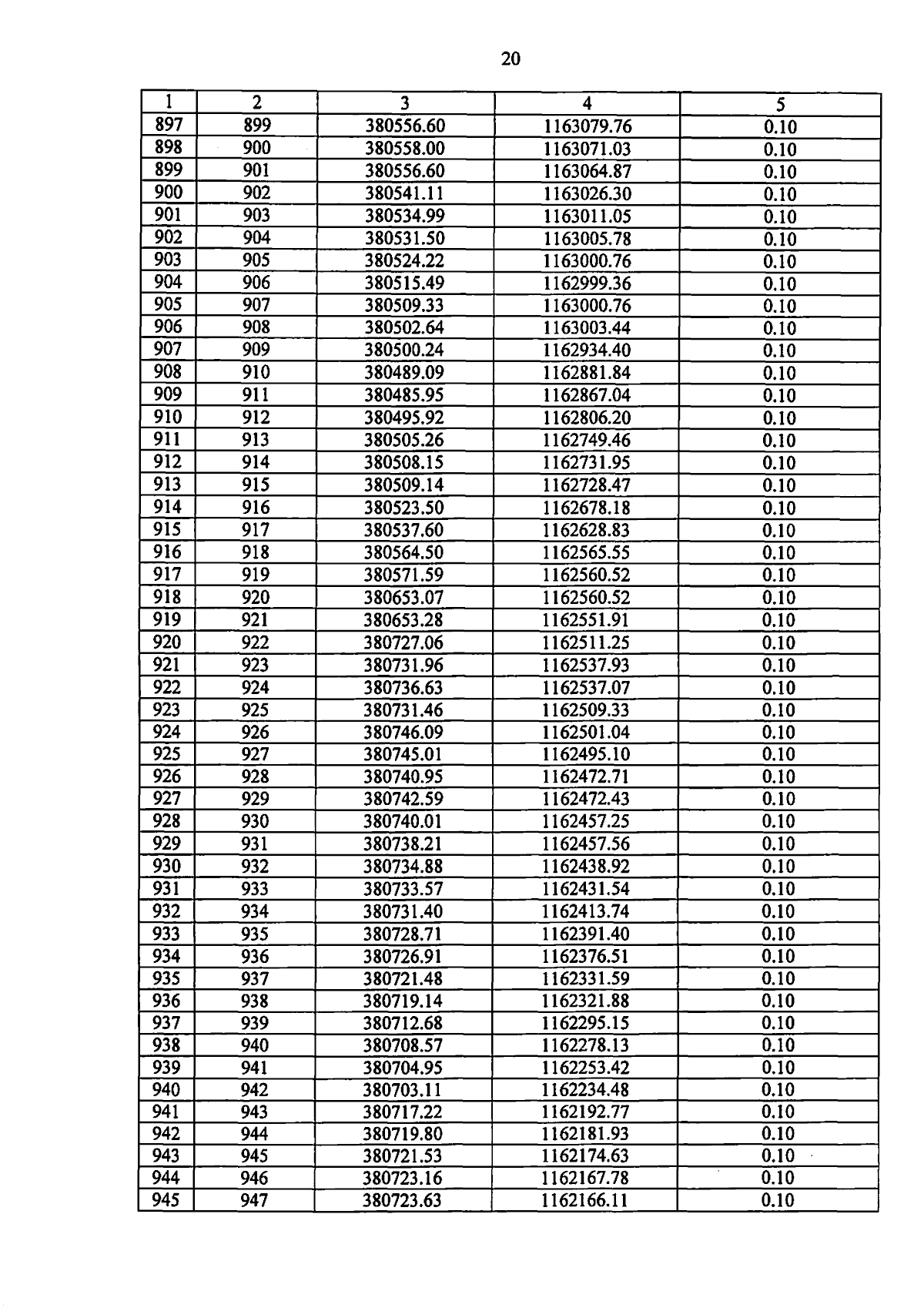
"О внесении изменения в границы публичного сервитута в целях размещения линейного объекта регионального значения "Строительство канализационного коллектора от канализационной насосной станции "Детский круглогодичный спортивно-оздоровительный центр, Калининградская область" до камеры гашения в г. Пионерский, Калининградская область"
Номер опубликования: 3900202405280003
Дата опубликования: 28.05.2024
Страница №21 из 24:
Увеличить