Официальное опубликование правовых актов
ОФИЦИАЛЬНОЕ ОПУБЛИКОВАНИЕ
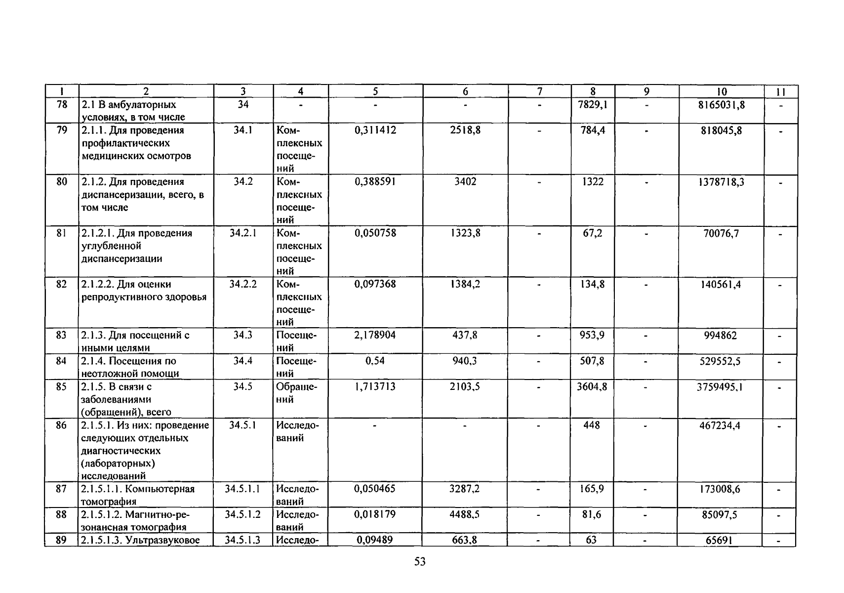
Постановление Правительства Калининградской области от 27.02.2024 № 76-п
"Об утверждении территориальной программы государственных гарантий бесплатного оказания гражданам медицинской помощи в Калининградской области на 2024 год и на плановый период 2025 и 2026 годов"
Номер опубликования: 3900202402280003
Дата опубликования: 28.02.2024
Страница №143 из 196:
Увеличить