Официальное опубликование правовых актов
ОФИЦИАЛЬНОЕ ОПУБЛИКОВАНИЕ
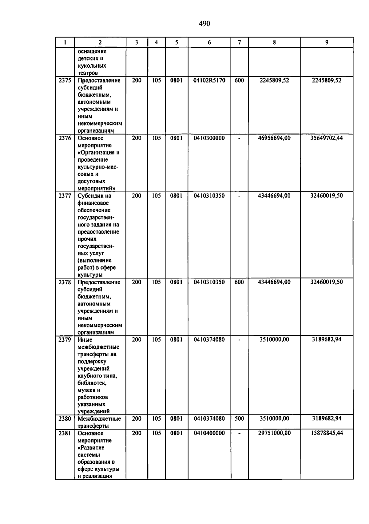
Постановление Правительства Калининградской области от 15.02.2024 № 57-п
"Об утверждении отчета об исполнении областного бюджета за 9 месяцев 2023 года"
Номер опубликования: 3900202402190002
Дата опубликования: 19.02.2024
Страница №491 из 622:
Увеличить