Официальное опубликование правовых актов
ОФИЦИАЛЬНОЕ ОПУБЛИКОВАНИЕ
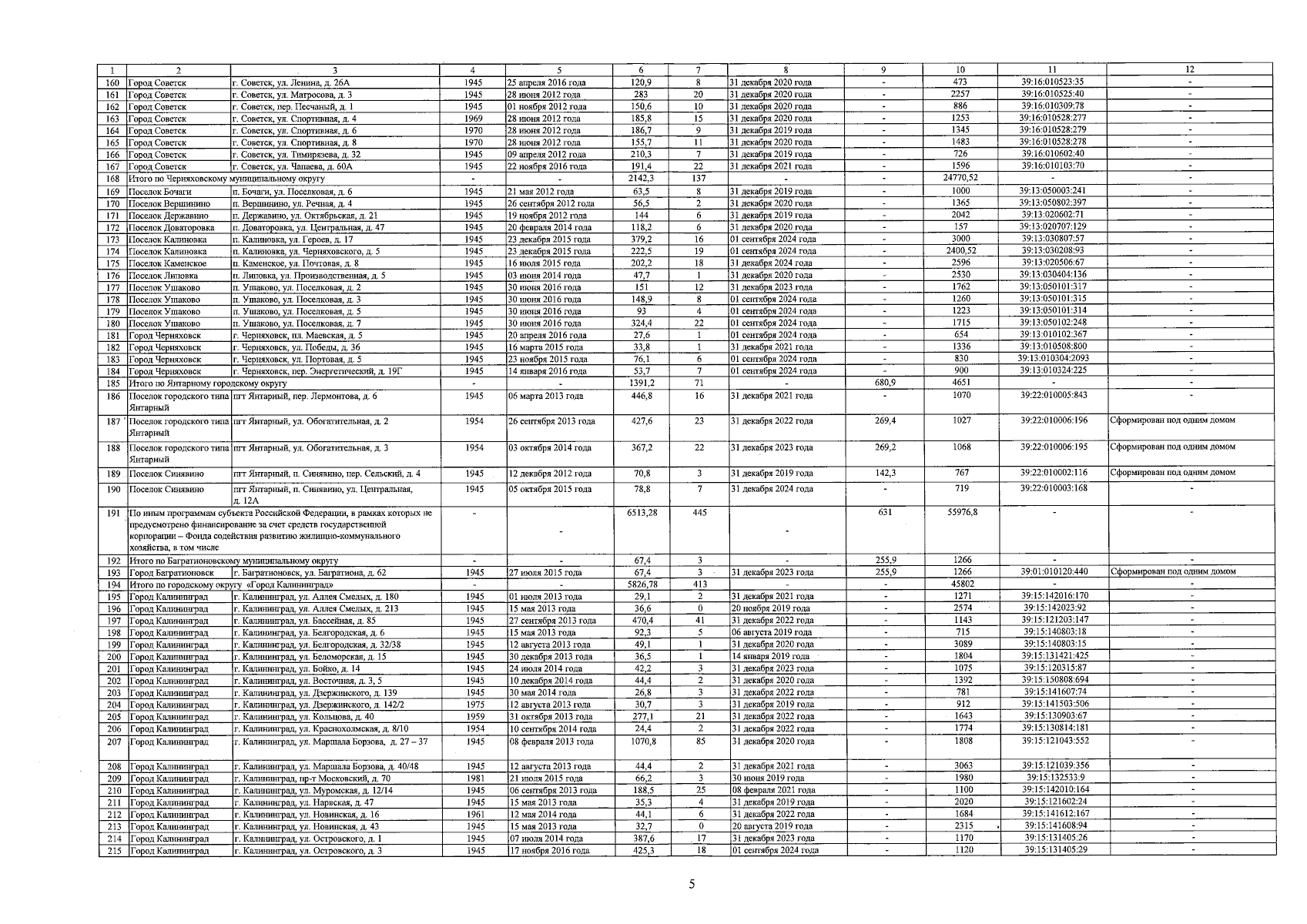
Постановление Правительства Калининградской области от 29.01.2024 № 28-п
"О внесении изменений в региональную адресную программу "Переселение граждан из аварийного жилищного фонда на территории Калининградской области"
Номер опубликования: 3900202401310004
Дата опубликования: 31.01.2024
Страница №6 из 14:
Увеличить