Официальное опубликование правовых актов
ОФИЦИАЛЬНОЕ ОПУБЛИКОВАНИЕ
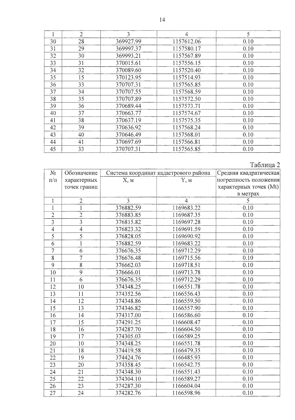
Постановление Правительства Калининградской области от 31.08.2023 № 408-п
"Об установлении публичного сервитута в целях устройства пересечений автомобильных дорог и примыканий автомобильных дорог к другим автомобильным дорогам на земельных участках, находящихся в государственной собственности, в границах полосы отвода автомобильной дороги"
Номер опубликования: 3900202309040021
Дата опубликования: 04.09.2023
Страница №17 из 21:
Увеличить