Постановление Правительства Калининградской области от 31.08.2023 № 412-п
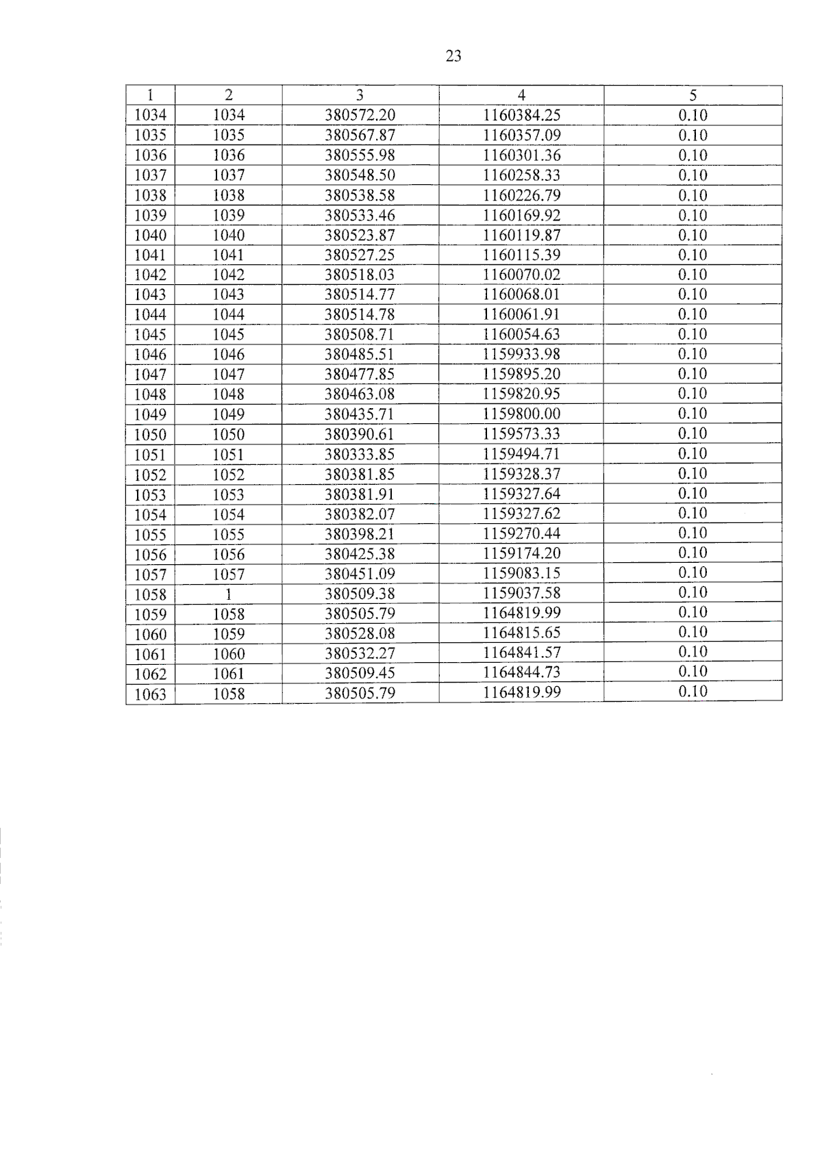
"Об установлении публичного сервитута в целях размещения линейного объекта регионального значения "Строительство канализационного коллектора от канализационной насосной станции "Детский круглогодичный спортивно-оздоровительный центр, Калининградская область" до камеры гашения в г. Пионерский, Калининградская область"
"Об установлении публичного сервитута в целях размещения линейного объекта регионального значения "Строительство канализационного коллектора от канализационной насосной станции "Детский круглогодичный спортивно-оздоровительный центр, Калининградская область" до камеры гашения в г. Пионерский, Калининградская область"
Номер опубликования: 3900202309040003
Дата опубликования:
04.09.2023
