Официальное опубликование правовых актов
ОФИЦИАЛЬНОЕ ОПУБЛИКОВАНИЕ
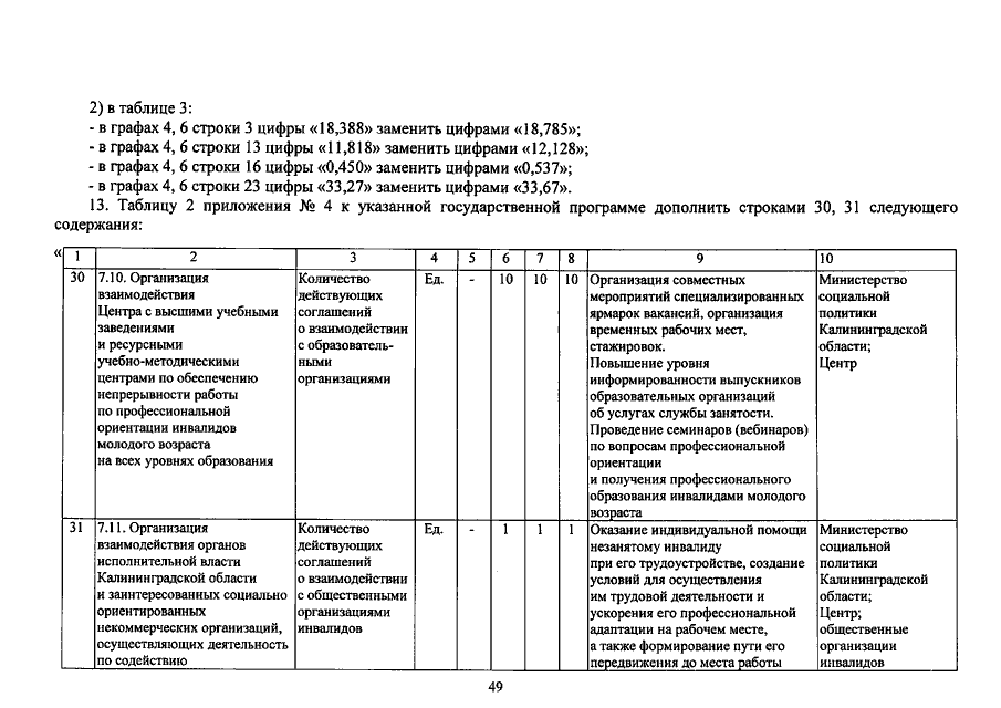
Постановление Правительства Калининградской области от 23.12.2022 № 684
"О внесении изменений в государственную программу Калининградской области "Социальная поддержка населения"
Номер опубликования: 3900202212260013
Дата опубликования: 26.12.2022
Страница №50 из 67:
Увеличить