Официальное опубликование правовых актов
ОФИЦИАЛЬНОЕ ОПУБЛИКОВАНИЕ
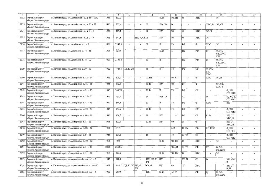
Постановление Правительства Калининградской области от 30.11.2022 № 624
"О внесении изменений в постановление Правительства Калининградской области от 09 декабря 2014 года № 826 "Об утверждении региональной программы капитального ремонта общего имущества в многоквартирных домах, расположенных на территории Калининградской области, на 2015 – 2044 годы"
Номер опубликования: 3900202212020002
Дата опубликования: 02.12.2022
Страница №92 из 691:
Увеличить