Официальное опубликование правовых актов
ОФИЦИАЛЬНОЕ ОПУБЛИКОВАНИЕ
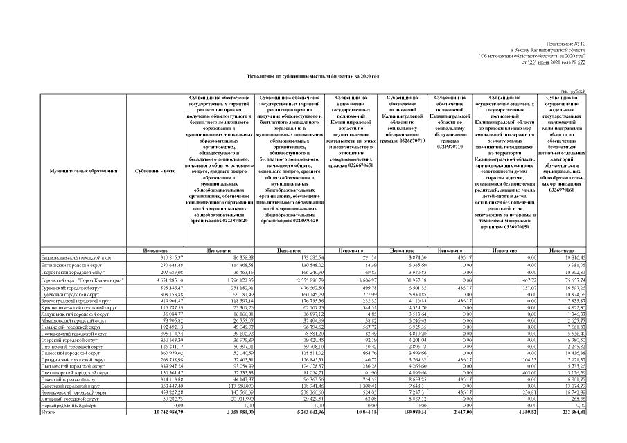
Закон Калининградской области от 25.06.2021 № 572
"Об исполнении областного бюджета за 2020 год"
Номер опубликования: 3900202107010018
Дата опубликования: 01.07.2021
Страница №258 из 266:
Увеличить