Официальное опубликование правовых актов
ОФИЦИАЛЬНОЕ ОПУБЛИКОВАНИЕ
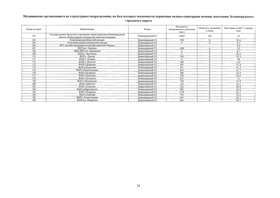
Постановление Правительства Калининградской области от 15.12.2020 № 897
"Об утверждении региональной программы Калининградской области "Модернизация первичного звена здравоохранения"
Номер опубликования: 3900202012240024
Дата опубликования: 24.12.2020
Страница №89 из 551:
Увеличить