Официальное опубликование правовых актов
ОФИЦИАЛЬНОЕ ОПУБЛИКОВАНИЕ
Постановление Правительства Калининградской области от 21.05.2020 № 305
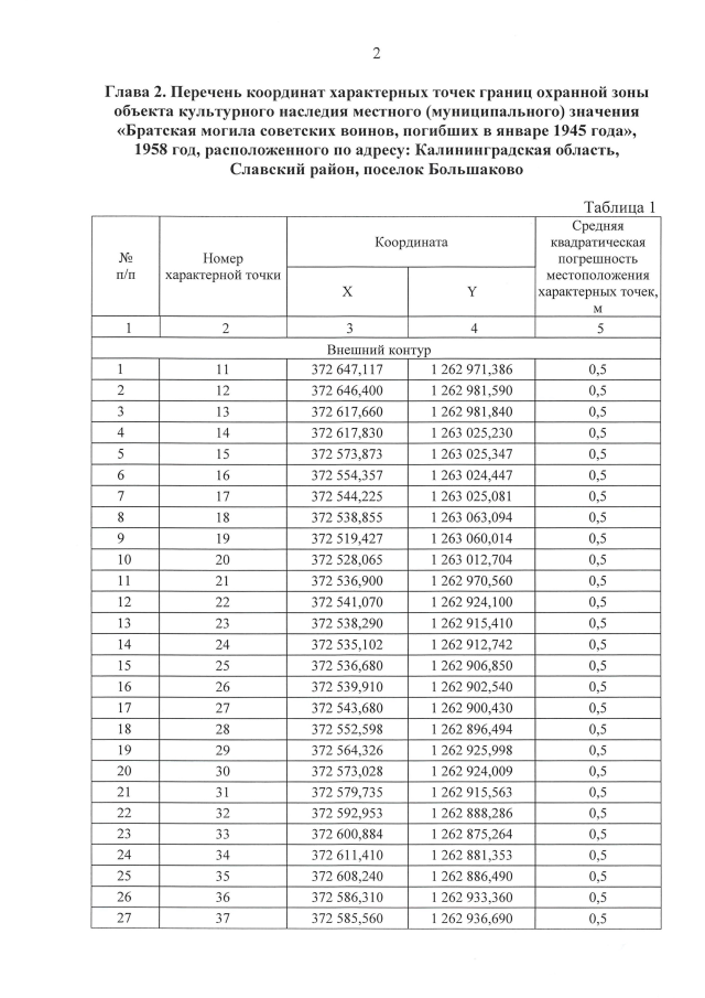
"Об установлении зоны охраны объекта культурного наследия местного (муниципального) значения "Братская могила советских воинов, погибших в январе 1945 года", 1958 год, расположенного по адресу: Калининградская область, Славский район, поселок Большаково, и об утверждении требований к градостроительным регламентам в границах территории данной зоны"
Номер опубликования: 3900202005270002
Дата опубликования: 27.05.2020
Страница №4 из 8:
Увеличить