Официальное опубликование правовых актов
ОФИЦИАЛЬНОЕ ОПУБЛИКОВАНИЕ
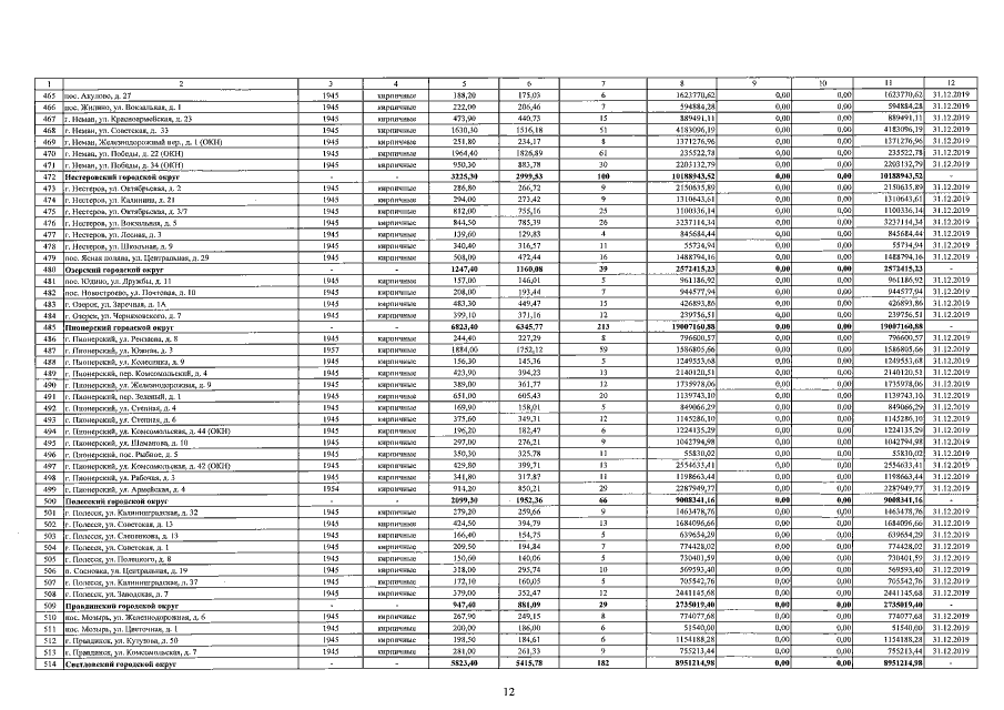
Постановление Правительства Калининградской области от 15.04.2020 № 206
"О внесении изменений в краткосрочный план реализации на 2018-2020 годы региональной программы капитального ремонта общего имущества в многоквартирных домах, расположенных на территории Калининградской области, на 2015-2044 годы"
Номер опубликования: 3900202004200002
Дата опубликования: 20.04.2020
Страница №13 из 53:
Увеличить