Официальное опубликование правовых актов
ОФИЦИАЛЬНОЕ ОПУБЛИКОВАНИЕ
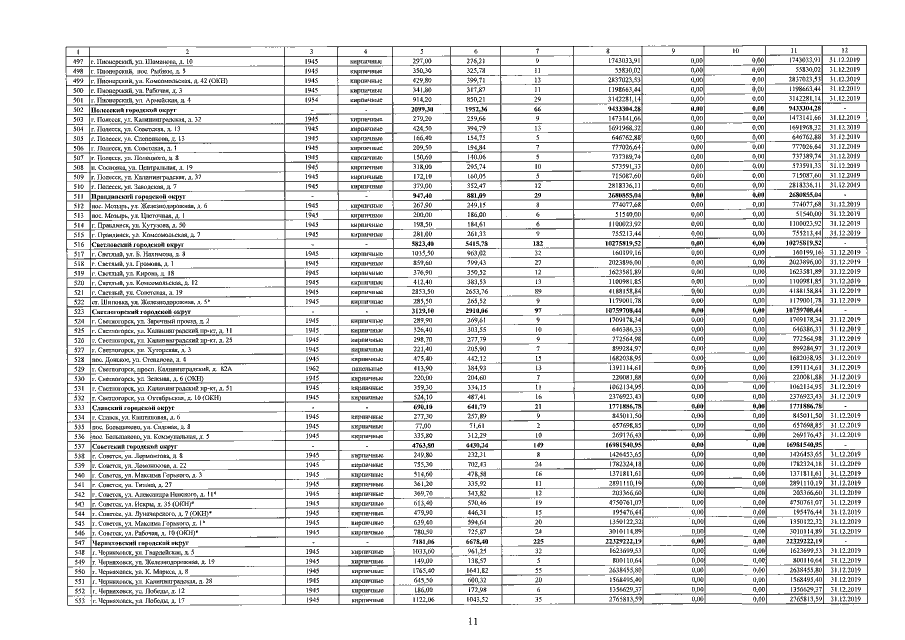
Постановление Правительства Калининградской области от 23.08.2019 № 550
"О внесении изменений в краткосрочный план реализации на 2018-2020 годы региональной программы капитального ремонта общего имущества в многоквартирных домах, расположенных на территории Калининградской области, на 2015-2044 годы"
Номер опубликования: 3900201908280001
Дата опубликования: 28.08.2019
Страница №12 из 45:
Увеличить