Официальное опубликование правовых актов
ОФИЦИАЛЬНОЕ ОПУБЛИКОВАНИЕ
Постановление Правительства Калининградской области от 02.07.2019 № 456
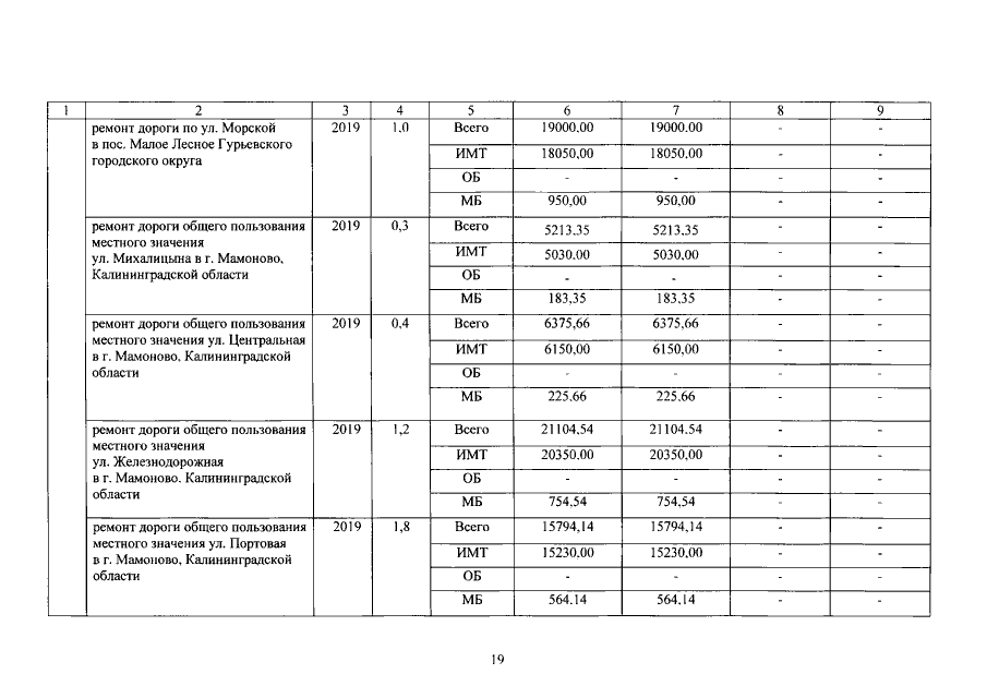
"О внесении изменений в перечень мероприятий и объектов капитальных вложений государственной (муниципальной) собственности с указанием объемов финансирования за счет ассигнований, предусмотренных в 2019 году по подразделу "Дорожное хозяйство (дорожные фонды)" раздела "Национальная экономика" Законом Калининградской области от 04 декабря 2018 года № 229 "Об областном бюджете на 2019 год и на плановый период 2020 и 2021 годов"
Номер опубликования: 3900201907090011
Дата опубликования: 09.07.2019
Страница №21 из 24:
Увеличить