Официальное опубликование правовых актов
ОФИЦИАЛЬНОЕ ОПУБЛИКОВАНИЕ
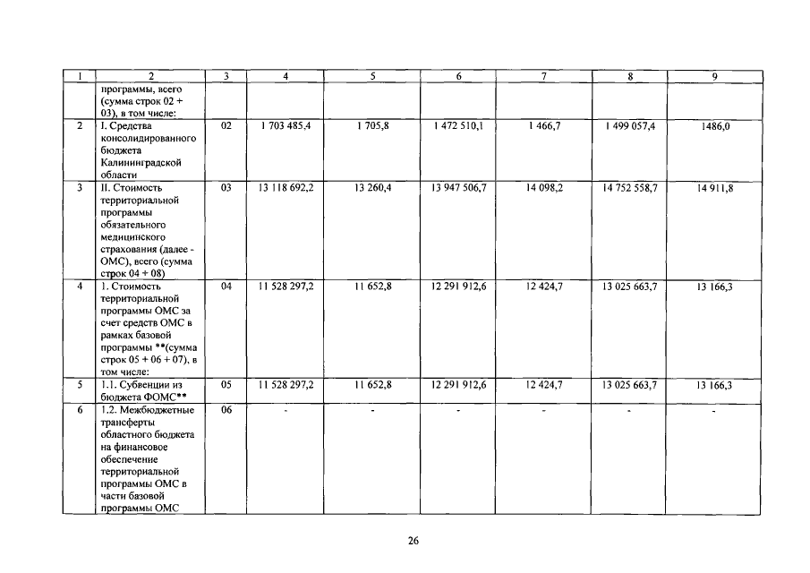
Постановление Правительства Калининградской области от 02.07.2019 № 448
"О внесении изменений в территориальную программу государственных гарантий бесплатного оказания гражданам медицинской помощи в Калининградской области на 2019 год и на плановый период 2020 и 2021 годов"
Номер опубликования: 3900201907090009
Дата опубликования: 09.07.2019
Страница №27 из 78:
Увеличить