Официальное опубликование правовых актов
ОФИЦИАЛЬНОЕ ОПУБЛИКОВАНИЕ
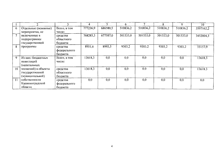
Постановление Правительства Калининградской области от 05.06.2019 № 411
"О внесении изменений в постановление Правительства Калининградской области от 31 декабря 2013 года № 1024"
Номер опубликования: 3900201906130012
Дата опубликования: 13.06.2019
Страница №43 из 54:
Увеличить