Официальное опубликование правовых актов
ОФИЦИАЛЬНОЕ ОПУБЛИКОВАНИЕ
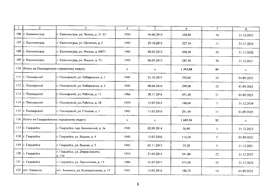
Постановление Правительства Калининградской области от 21.05.2019 № 354
"О внесении изменений в постановление Правительства Калининградской области от 31 декабря 2013 года № 1026"
Номер опубликования: 3900201905280001
Дата опубликования: 28.05.2019
Страница №24 из 38:
Увеличить