Официальное опубликование правовых актов
ОФИЦИАЛЬНОЕ ОПУБЛИКОВАНИЕ
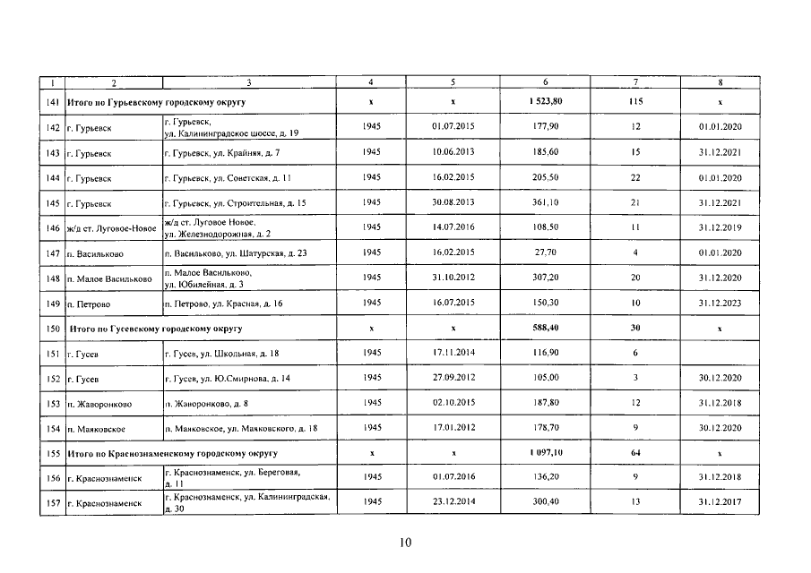
Постановление Правительства Калининградской области от 29.03.2019 № 216
"О внесении изменений в постановление Правительства Калининградской области от 31 декабря 2013 года № 1026"
Номер опубликования: 3900201904050008
Дата опубликования: 05.04.2019
Страница №27 из 39:
Увеличить