Официальное опубликование правовых актов
ОФИЦИАЛЬНОЕ ОПУБЛИКОВАНИЕ
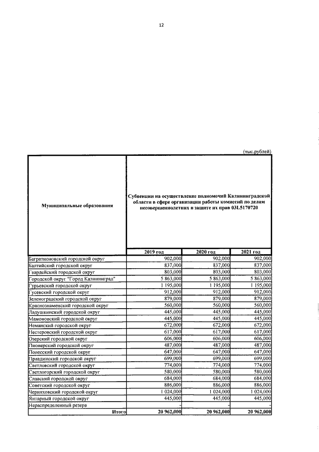
Закон Калининградской области от 18.02.2019 № 255
"О внесении изменений в Закон Калининградской области "Об областном бюджете на 2019 год и на плановый период 2020 и 2021 годов"
Номер опубликования: 3900201902200002
Дата опубликования: 20.02.2019
Страница №510 из 527:
Увеличить