Официальное опубликование правовых актов
ОФИЦИАЛЬНОЕ ОПУБЛИКОВАНИЕ
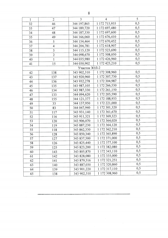
Постановление Правительства Калининградской области от 31.12.2018 № 821
"Об утверждении границ зон охраны объекта культурного наследия регионального значения "Руины замка "Бранденбург", особых режимов использования земель и требований к градостроительным регламентам в границах данных зон и внесении изменений в постановление Правительства Калининградской области от 06 июня 2013 года № 386"
Номер опубликования: 3900201901040008
Дата опубликования: 04.01.2019
Страница №10 из 18:
Увеличить