Официальное опубликование правовых актов
ОФИЦИАЛЬНОЕ ОПУБЛИКОВАНИЕ
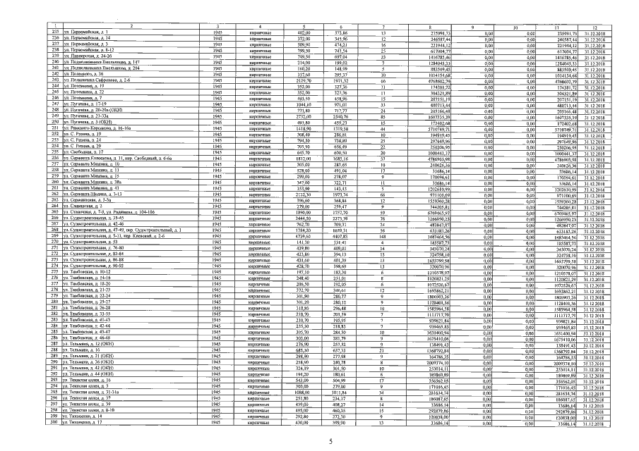
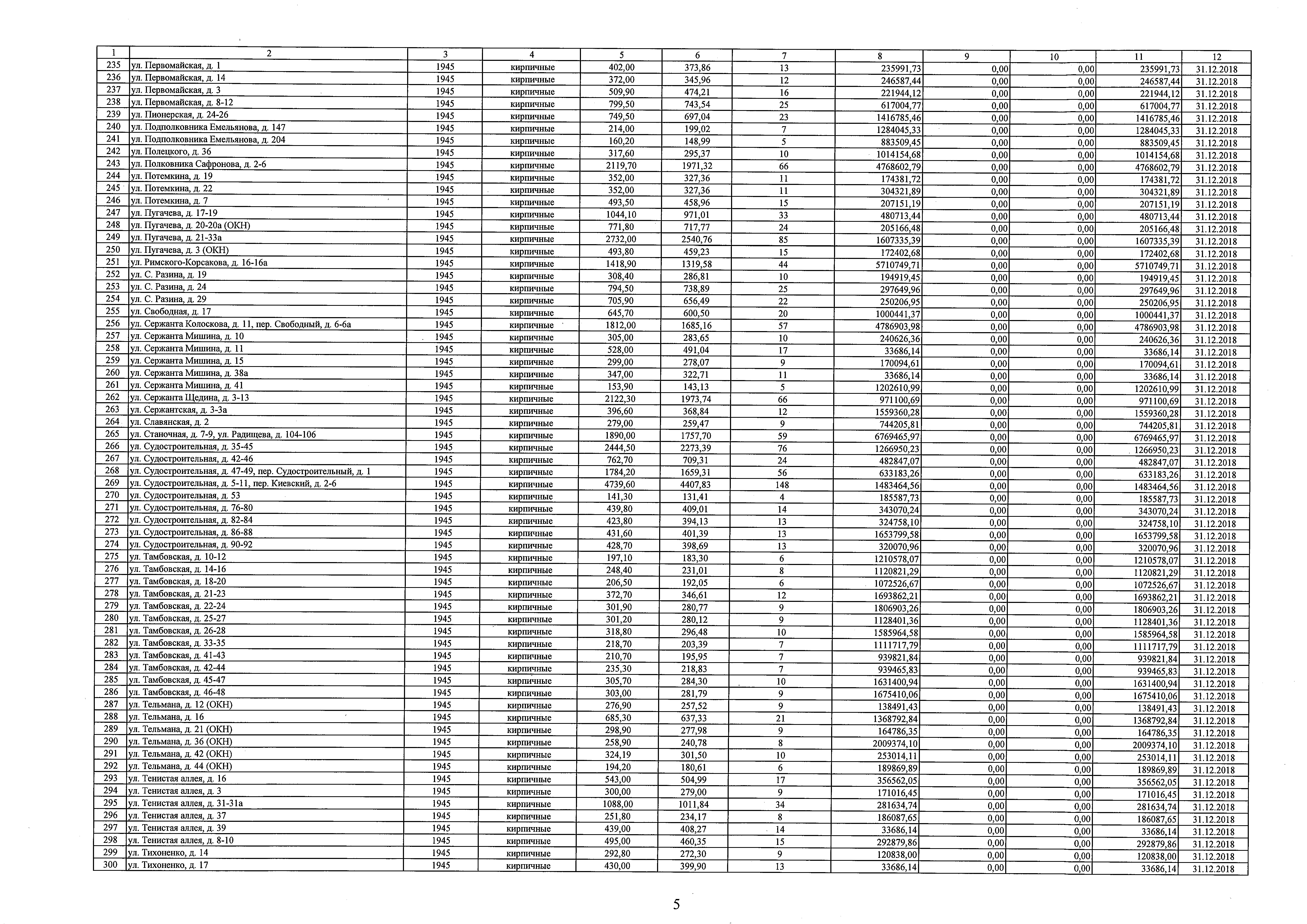
Постановление Правительства Калининградской области от 21.12.2018 № 777
"О внесении изменения в краткосрочный план реализации на 2017-2019 годы региональной программы капитального ремонта общего имущества в многоквартирных домах, расположенных на территории Калининградской области, на 2015-2044 годы"
Номер опубликования: 3900201812280004
Дата опубликования: 28.12.2018
Страница №6 из 39: