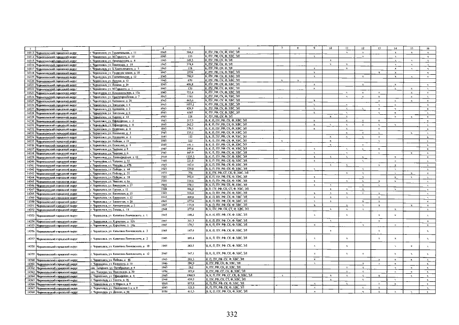
Постановление Правительства Калининградской области от 30.11.2018 № 725
"О внесении изменения в постановление Правительства Калининградской области от 09 декабря 2014 года № 826 и признании утратившим силу отдельного решения Правительства Калининградской области"
"О внесении изменения в постановление Правительства Калининградской области от 09 декабря 2014 года № 826 и признании утратившим силу отдельного решения Правительства Калининградской области"
Номер опубликования: 3900201812060008
Дата опубликования:
06.12.2018
