Официальное опубликование правовых актов
ОФИЦИАЛЬНОЕ ОПУБЛИКОВАНИЕ
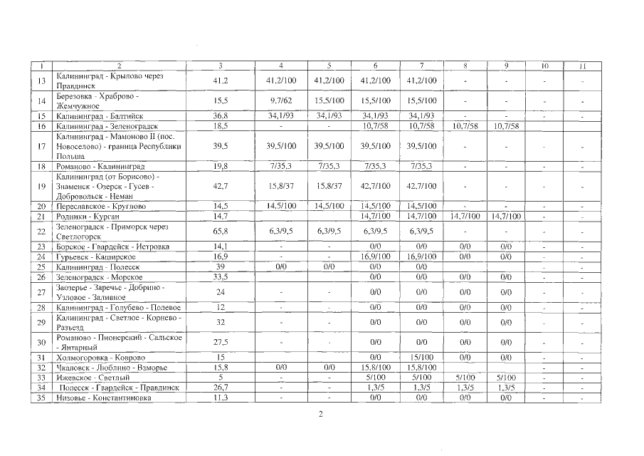
Постановление Правительства Калининградской области от 19.11.2018 № 686
"О внесении изменений в постановление Правительства Калининградской области от 17 февраля 2014 года № 65"
Номер опубликования: 3900201811270010
Дата опубликования: 27.11.2018
Страница №53 из 68:
Увеличить