Официальное опубликование правовых актов
ОФИЦИАЛЬНОЕ ОПУБЛИКОВАНИЕ
Постановление Правительства Калининградской области от 19.11.2018 № 697
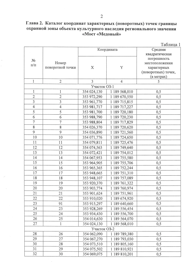
"Об утверждении границ зон охраны объекта культурного наследия регионального значения "Мост "Медовый", особых режимов использования земель и требований к градостроительным регламентам в границах данных зон"
Номер опубликования: 3900201811260018
Дата опубликования: 26.11.2018
Страница №4 из 13:
Увеличить