Официальное опубликование правовых актов
ОФИЦИАЛЬНОЕ ОПУБЛИКОВАНИЕ
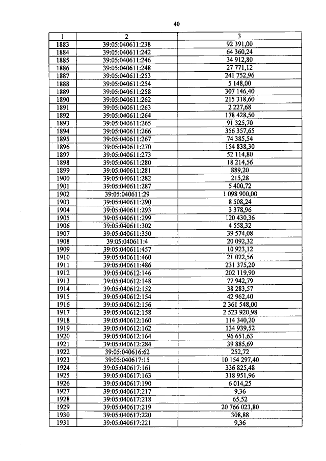
Постановление Правительства Калининградской области от 22.11.2018 № 704
"Об утверждении результатов определения кадастровой стоимости земельных участков в составе земель промышленности, энергетики, транспорта, связи, радиовещания, телевидения, информатики, земель для обеспечения космической деятельности, земель обороны, безопасности и земель иного специального назначения на территории Калининградской области"
Номер опубликования: 3900201811260001
Дата опубликования: 26.11.2018
Страница №41 из 85:
Увеличить