Официальное опубликование правовых актов
ОФИЦИАЛЬНОЕ ОПУБЛИКОВАНИЕ
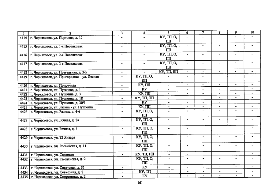
Постановление Правительства Калининградской области от 22.06.2018 № 365
"Об утверждении региональной программы в области обращения с отходами, в том числе с твердыми коммунальными отходами, на территории Калининградской области"
Номер опубликования: 3900201806280009
Дата опубликования: 28.06.2018
Страница №190 из 194:
Увеличить