Официальное опубликование правовых актов
ОФИЦИАЛЬНОЕ ОПУБЛИКОВАНИЕ
Постановление Правительства Калининградской области от 09.04.2018 № 187
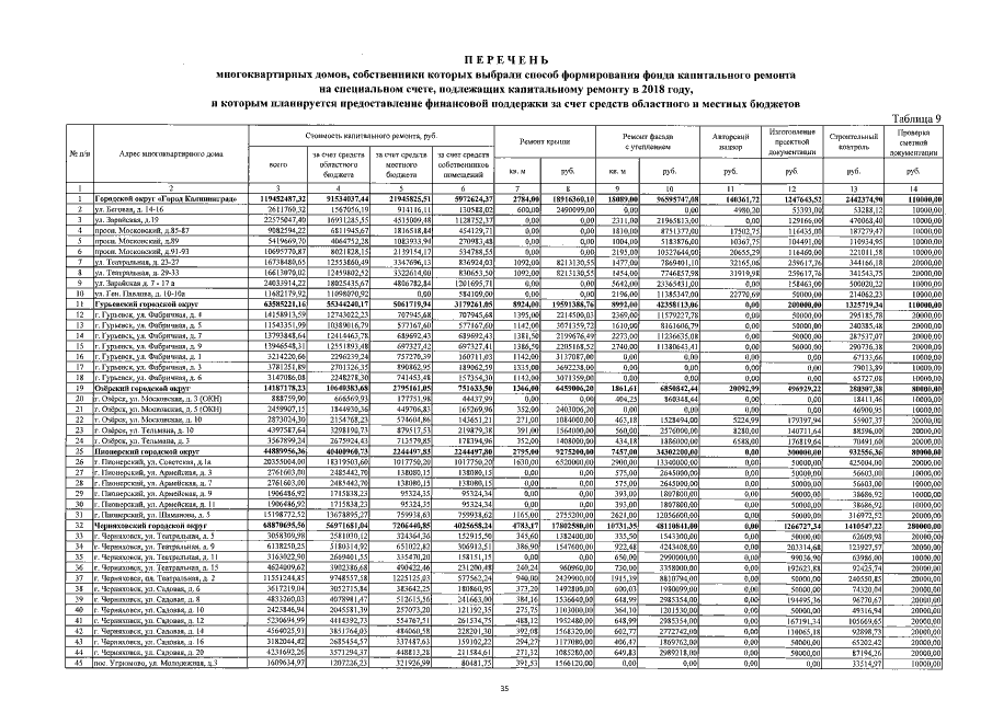
"О внесении изменения в краткосрочный план реализации на 2017-2019 годы региональной программы капитального ремонта общего имущества в многоквартирных домах, расположенных на территории Калининградской области, на 2015-2044 годы и признании утратившим силу отдельного решения Правительства Калининградской области"
Номер опубликования: 3900201804120005
Дата опубликования: 12.04.2018
Страница №37 из 41:
Увеличить