Официальное опубликование правовых актов
ОФИЦИАЛЬНОЕ ОПУБЛИКОВАНИЕ
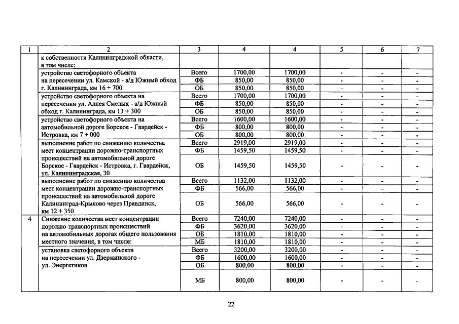
Постановление Правительства Калининградской области от 08.02.2018 № 70
"О внесении изменения в перечень мероприятий и объектов капитальных вложений государственной (муниципальной) собственности с указанием объемов финансирования за счет ассигнований, предусмотренных в 2018 году по подразделу "Дорожное хозяйство (дорожные фонды)" раздела "Национальная экономика" Законом Калининградской области от 19 декабря 2017 года № 128 "Об областном бюджете на 2018 год и на плановый период 2019 и 2020 годов"
Номер опубликования: 3900201802130002
Дата опубликования: 13.02.2018
Страница №24 из 27:
Увеличить