Официальное опубликование правовых актов
ОФИЦИАЛЬНОЕ ОПУБЛИКОВАНИЕ
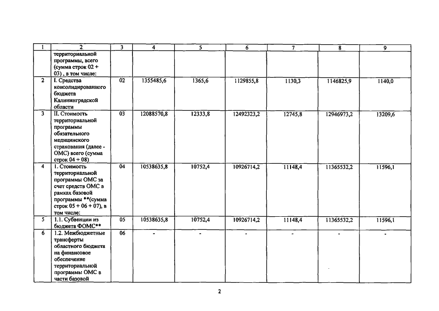
Постановление Правительства Калининградской области от 31.12.2017 № 727
"О территориальной программе государственных гарантий бесплатного оказания гражданам медицинской помощи в Калининградской области на 2018 год и на плановый период 2019 и 2020 годов"
Номер опубликования: 3900201801090001
Дата опубликования: 09.01.2018
Страница №46 из 100:
Увеличить