Официальное опубликование правовых актов
ОФИЦИАЛЬНОЕ ОПУБЛИКОВАНИЕ
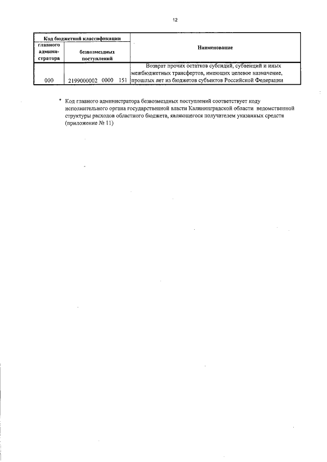
Закон Калининградской области от 14.12.2017 № 126
"О внесении изменений в Закон Калининградской области "Об областном бюджете на 2017 год и на плановый период 2018 и 2019 годов"
Номер опубликования: 3900201712180001
Дата опубликования: 18.12.2017
Страница №25 из 357:
Увеличить