Официальное опубликование правовых актов
ОФИЦИАЛЬНОЕ ОПУБЛИКОВАНИЕ
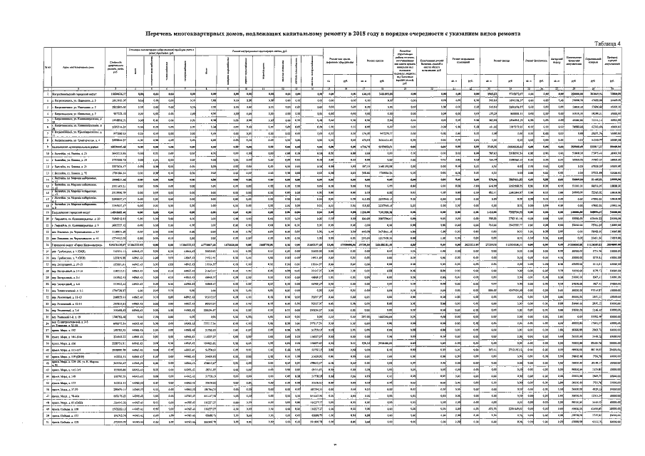
Постановление Правительства Калининградской области от 06.06.2017 № 286
"О внесении изменения в постановление Правительства Калининградской области от 30 июля 2016 года № 382 и признании утратившим силу постановления Правительства Калининградской области от 12 апреля 2017 года № 187"
Номер опубликования: 3900201706140002
Дата опубликования: 14.06.2017
Страница №27 из 37:
Увеличить