Официальное опубликование правовых актов
ОФИЦИАЛЬНОЕ ОПУБЛИКОВАНИЕ
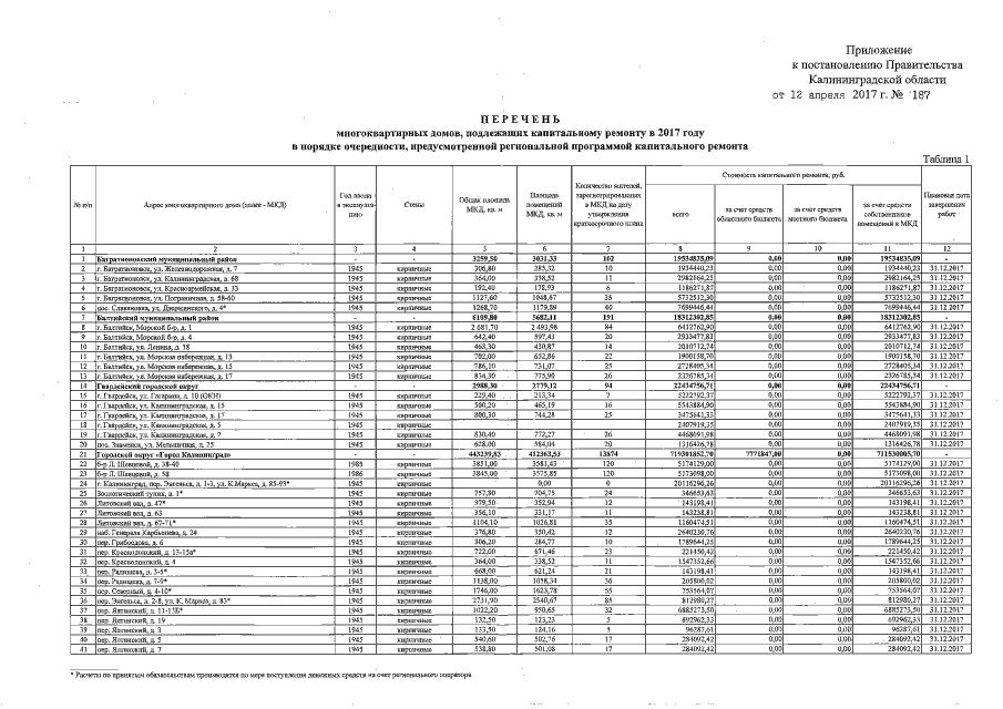
Постановление Правительства Калининградской области от 12.04.2017 № 187
"О внесении изменения в постановление Правительства Калининградской области от 30 июля 2016 года № 382"
Номер опубликования: 3900201704130006
Дата опубликования: 13.04.2017
Страница №2 из 21:
Увеличить