Официальное опубликование правовых актов
ОФИЦИАЛЬНОЕ ОПУБЛИКОВАНИЕ
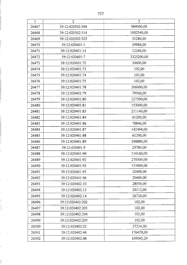
Постановление Правительства Калининградской области от 24.11.2016 № 551
"Об утверждении результатов определения кадастровой стоимости земельных участков в составе земель сельскохозяйственного назначения (за исключением земельных участков в границах садоводческих, огороднических и дачных объединений) на территории Калининградской области и признании утратившим силу пункта 1 постановления Правительства Калининградской области от 14 ноября 2012 года № 856"
Номер опубликования: 3900201611290002
Дата опубликования: 29.11.2016
Страница №738 из 859:
Увеличить