Официальное опубликование правовых актов
ОФИЦИАЛЬНОЕ ОПУБЛИКОВАНИЕ
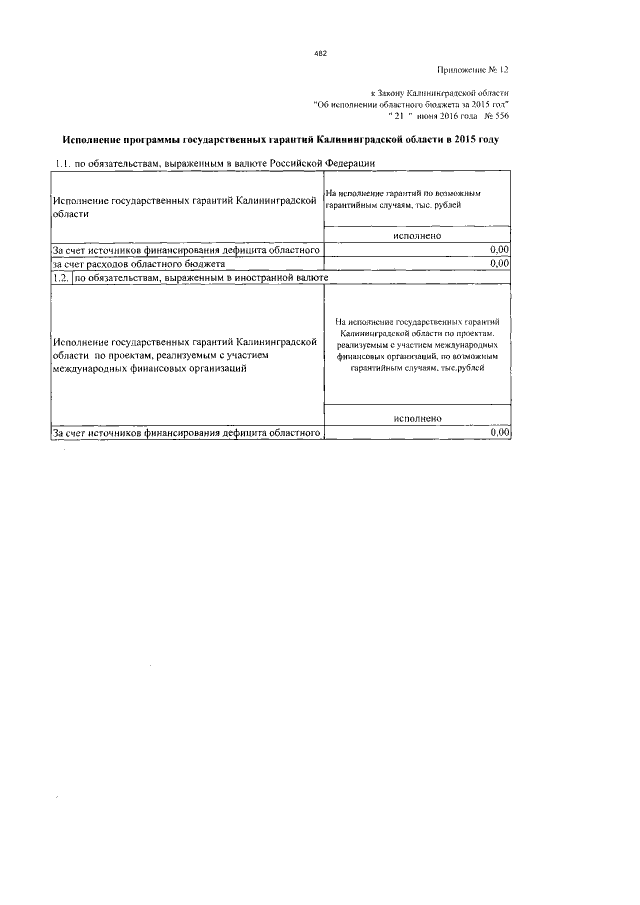
Закон Калининградской области от 21.06.2016 № 556
"Об исполнении областного бюджета за 2015 год"
Номер опубликования: 3900201606290001
Дата опубликования: 29.06.2016
Страница №482 из 482:
Увеличить