Официальное опубликование правовых актов
ОФИЦИАЛЬНОЕ ОПУБЛИКОВАНИЕ
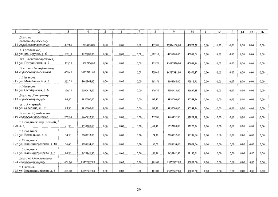
Постановление Правительства Калининградской области от 17.12.2015 № 720
"О внесении изменений и дополнений в постановление Правительства Калининградской области от 31 декабря 2013 года № 1026"
Номер опубликования: 3900201512180001
Дата опубликования: 18.12.2015
Страница №56 из 88:
Увеличить