Официальное опубликование правовых актов
ОФИЦИАЛЬНОЕ ОПУБЛИКОВАНИЕ
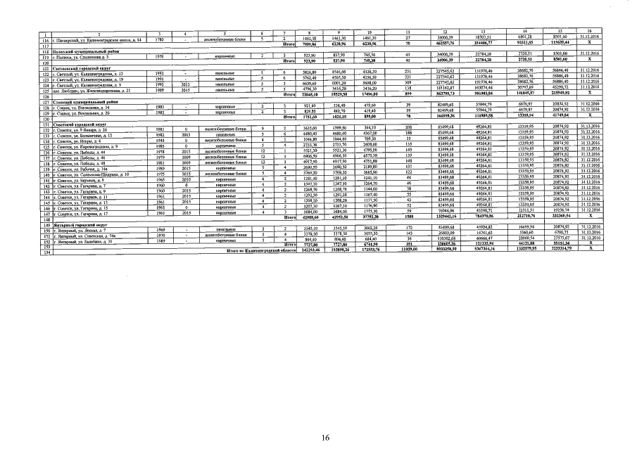
Постановление Правительства Калининградской области от 26.10.2015 № 593
"Об утверждении краткосрочного плана реализации региональной программы капитального ремонта общего имущества в многоквартирных домах, расположенных на территории Калининградской области, на 2015-2044 годы на 2016 год"
Номер опубликования: 3900201510290002
Дата опубликования: 29.10.2015
Страница №17 из 20:
Увеличить