Официальное опубликование правовых актов
ОФИЦИАЛЬНОЕ ОПУБЛИКОВАНИЕ
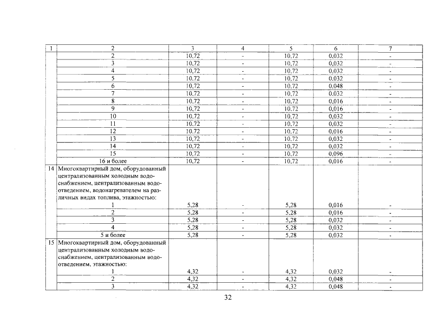
Постановление Правительства Калининградской области от 29.09.2015 № 556
"О внесении изменений и дополнений в постановление Правительства Калининградской области от 28 марта 2014 года № 184"
Номер опубликования: 3900201510050001
Дата опубликования: 05.10.2015
Страница №38 из 46:
Увеличить