Официальное опубликование правовых актов
ОФИЦИАЛЬНОЕ ОПУБЛИКОВАНИЕ
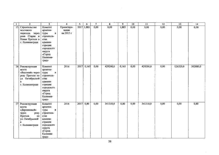
Постановление Правительства Калининградской области от 06.07.2015 № 377
"О внесении изменений и дополнений в постановление Правительства Калининградской области от 17 февраля 2014 года № 65"
Номер опубликования: 3900201507100001
Дата опубликования: 10.07.2015
Страница №53 из 60:
Увеличить